RU
BY
EN
+
Электронная регистратура
КОЛЛ-ЦЕНТР
Районной поликлиники
+375 1512 5-90-33
ПН-ПТ с 8.00 до 20.00
Меню сайта
Главная
О нас
Администрация
Структура
Календарь событий
Вакансии
Виртуальная доска почета
Охрана труда
Коллективный договор
Общественные организации
Работа с молодежью
Информация для абитуриентов
История ЦРБ
Неиспользуемые объекты недвижимости
Административные процедуры
Обращения
График личного приема в Волковысской ЦРБ
Горячая линия
Чат-бот Минздрава для экстренных обращений граждан
Прямая телефонная линия
Вопрос - ответ (часто задаваемые вопросы)
ГУЗО прямая линия
РИК прямая линия
Электронные обращения
Порядок рассмотрения обращений
Сведения о вышестоящих государственных органах
Пациентам
Справочная служба аптек 169
Предварительная запись
Предварительный медицинский осмотр
Сексологическая помощь
Диспансеризация
Ранняя диагностика рака
Паллиативная помощь
Помощь жертвам торговли людьми
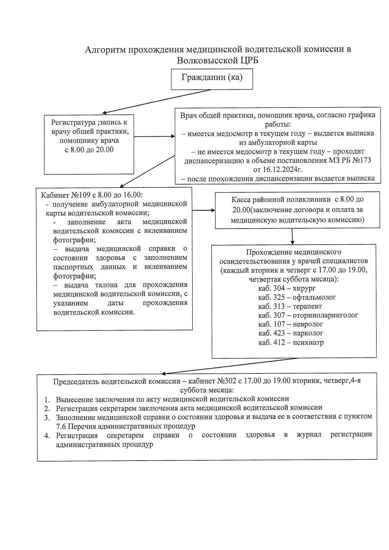
Водительская комиссия
Акушерско-гинекологическая помощь
Платные услуги
График выездов передвижного ФАПа
Здоровый образ жизни
Национальная сеть «Здоровые города и поселки»
Активное долголетие
Буклеты
Видео
Дни здоровья
Календарь здоровья
Статьи
Школы здоровья
Школа диабета
Актуально
Доступная среда для инвалидов, передвигающихся с помощью кресла-коляски
Добровольное медицинское страхование
Дом без насилия
Заказ выписки из амбулаторной карты
Бесплатное и льготное обеспечение лекарственными средствами отдельных категорий граждан
Уроки безопасности
ПОМОЩЬ ДЕТЯМ
Центр раннего вмешательства
ДИСПАНСЕРИЗАЦИЯ ДЕТСКОГО НАСЕЛЕНИЯ
Вакцинация детского населения
Памятки
Питание детей
Помощь новорождённым
Об утверждении регламента оказания медицинской помощи пациентам в детской поликлинике
Платная иммунизация
Оказание медицинской помощи (гинекологической) девочкам и девочкам подросткам
Оказание помощи несовершеннолетним, пострадавшим от сексуального насилия
Психонаркологическая помощь детскому населению
РАССТРОЙСТВА АУТИСТИЧЕСКОГО СПЕКТРА
Рекомендации родителям детей с синдромом дефицита внимания
Социальные гарантии семьям, воспитывающих детей инвалидов
Центр дружественный подросткам "Перспектива"
Антикоррупционная работа
Состав комиссии по противодействию коррупции
Заседания комиссии по противодействию коррупции
План работы комиссии по противодействию коррупции
Положение об урегулировании конфликта интересов
Актуальная информация
Экстренная психологическая помощь
Контакты
Пациентам
Главная
Пациентам
Водительская комиссия
Водительская комиссия
Алгоритм прохождения медицинской водительской комиссии в Волковысской ЦРБ